Abstract
Background:
Mortality due to acute immune thrombotic thrombocytopenic purpura (iTTP) is estimated at 10% with current standard treatment with plasma exchange (PLEX) and corticosteroids. Caplacizumab was recently shown to reduce mortality in acute iTTP, but may not be cost-effective in treating all patients. Predicting the risk of iTTP-related mortality has been of interest as it may help individualize treatment by considering more intensive treatment approaches that could further reduce mortality, as well as improving cost-effectiveness by restricting caplacizumab use to high-risk patients. The French Thrombotic Microangiopathy (TMA) Reference Score was developed as predictive model for acute iTTP mortality and was validated in the French TMA registry. External validation of the score on a large United States population has not been performed. The USTMA iTTP registry contains outcome data on 771 patients diagnosed with iTTP from 15 high-volume TTP referral centers. The aim of this study was to validate or improve upon the French TMA Reference Score using the USTMA iTTP registry.
Methods:
We included participants with initial presenting iTTP episode (n=419) from the USTMA iTTP registry (n=771) between 1985 and 2019. We analyzed thirty different baseline patient demographics, laboratory findings and treatment variables at time of initial presentation. We excluded ADAMTS13 inhibitor/antibody levels due to inconsistency in reporting of assays. We defined acute iTTP mortality as death within 30 days of last PLEX.
Validation of French score:
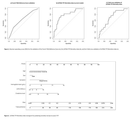
Risk scores of 0 - 4 were assigned according to the French TMA Reference score based on age, lactate dehydrogenase (LDH) level, and presence of neurologic symptoms. After the analysis demonstrated low area under the receiver operating characteristic curve (AUC) in our population, we then utilized our registry to develop a novel mortality prediction model.
Development of the USTMA TTP Mortality Index:
Patient characteristics at presentation were compared between first episode survivors vs. non-survivors, and those with p values < 0.1 were entered as candidate predictors to develop a logistic regression model. Missing values were imputed using multiple imputation using chained equations (MICE), and 15 augmented datasets were generated. For each of the imputed datasets a model was selected using the Lasso method, and then the coefficients from the 15 models were averaged to form a final prediction model. Odds ratios (ORs), 95% confidence intervals (CIs) and p-values were reported from the final model. AUC was evaluated on the pre-imputed data (n=348), as well as using 5 fold cross validation on the imputed data sets.
Results:
Validation of the French TMA Reference Score:
We found that the French TMA Reference Score performed poorly to predict death from acute iTTP in our cohort: AUC 0.63 (95% CI: 0.50-0.77) (Figure 1a), compared to the AUC of 0.77 reported in the French population. Using a cut-off of ≥ 3, the sensitivity was 0.35, specificity was 0.84, and positive predictive value was 0.1.
Development of the USTMA TTP Mortality Index:
There were 24 deaths (5.7%) in our cohort. We identified six variables to be included in the predictive model below. A nomogram for the model was developed and is depicted in Figure 2.
Age: OR = 1.12 (0.99,1.58)
Male sex: OR = 1.16 (0.93,3.04)
Stupor or coma on presentation: OR: 2.08 (0.90,8.87)
Hemoglobin level (g/dL): OR = 1.23 (1.00,1.43)
LDH level (U/L): OR = 1.08 (0.91,1.32)
Creatinine level mg/dL: OR = 1.10 (1.00,1.81)
Performance of the USTMA TTP Mortality Index model:
The model has an AUC of 0.78 (95% CI 0.67-0.90) on the pre-imputation cohort of 348 patients who had complete data on the model variables (Figure 1b), and a 5 fold cross-validated AUC of 0.69 (95% CI: 0.58 ~ 0.78) (Figure 1c).
Conclusion:
Both the French TMA Reference score and the USTMA TTP Mortality Index demonstrated poor performance in predicting iTTP mortality in our study. The low mortality rate observed in this database is consistent with recent randomized trials, but is lower than historically reported, and may contribute to poor accuracy of prediction models. We therefore conclude that mortality due to acute iTTP may be unpredictable with available models. Attempts to tailor caplacizumab specifically to patients with higher risk for acute iTTP-related death, based on available models, may not succeed in reducing mortality or improving cost-effectiveness.
Mazepa: Answering TTP Foundation: Research Funding; Sanofi Aventis: Other. Lim: Dova Pharmaceuticals: Honoraria; Hema Biologics: Honoraria; Sanofi Genzyme: Honoraria.

This feature is available to Subscribers Only
Sign In or Create an Account Close Modal